公众版
员工版
互联网医院
English
医院首页
医院概况
新闻中心
就诊指南
科室专家
护理天地
健康科普
互联网医院
您当前的位置 :
天津市肿瘤医院
>
人才建设
>
人才招聘
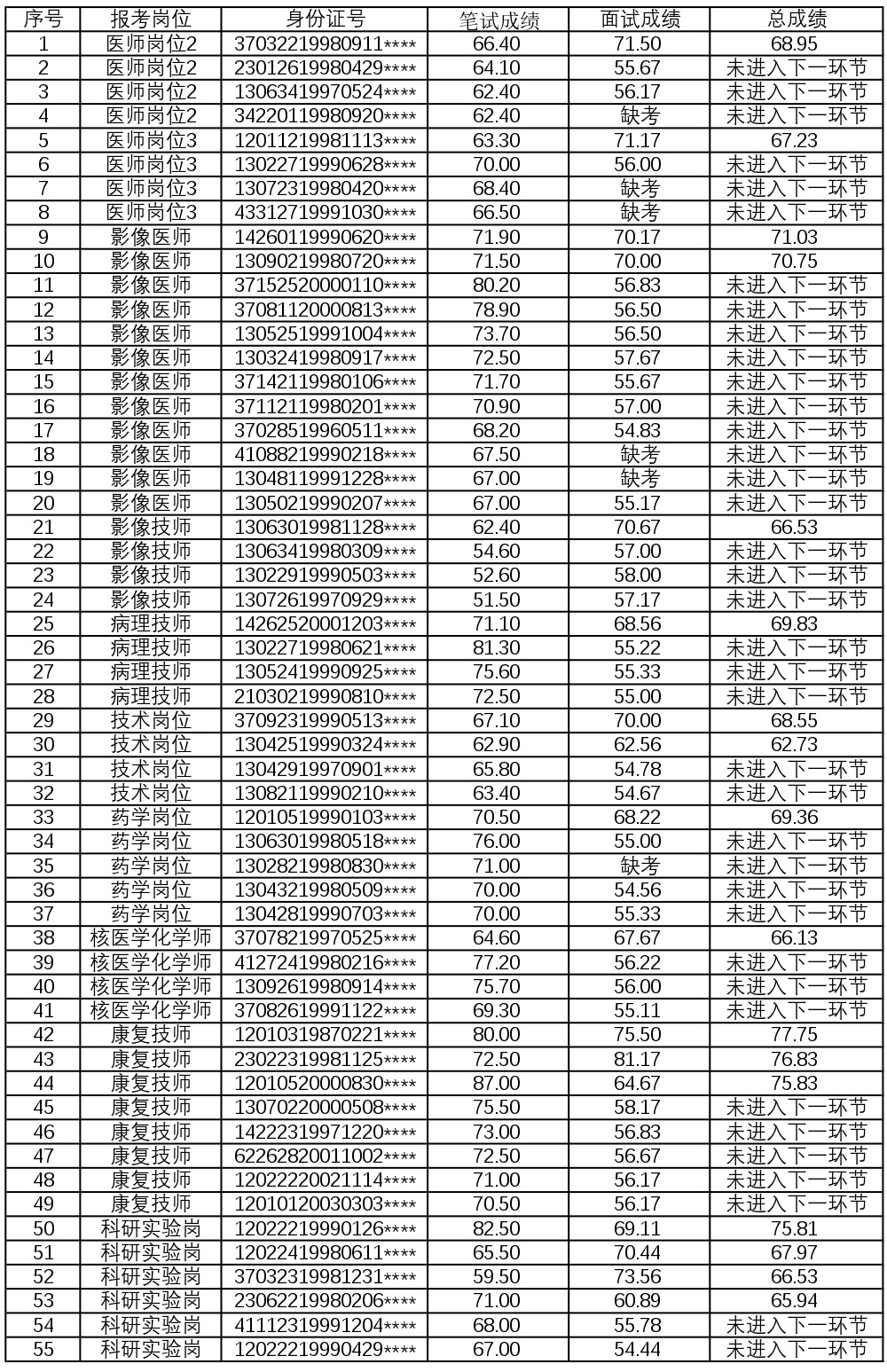
【2025年人事代理制招聘补录】天津医科大学肿瘤医院2025年第二批人事代理制工作人员招聘成绩
时间:
2025-07-10
来源:
法律声明 | 联系我们
Copyright @ 2005 Tianjin Medical University Cancer Institute and Hospital. All rights reserved.
天津市肿瘤医院(天津医科大学肿瘤医院) 版权所有 津教备0005号 津ICP备05002861号
中文域名:天津市肿瘤医院.公益 天津医科大学肿瘤医院.公益